Tuesday, September 17, 2019

Gpa Out Of Artinya

  • What Would Happen If You Never Saw The Sun?

    Sometimes, it seems hard to go outside and face the day. But what would happen if you never saw sunlight? Watch More: What Would Happen If You Never Left ...
    Watch Now
  • MD vs DO: What?s the difference & which is better?

    Hey guys! Have you ever wondered what\'s the difference between an MD and a DO? Is one better than the other? In today\'s video, I\'m going to shed some light ...
    Watch Now
  • Taking Notes: Crash Course Study Skills #1

    The first step in honing your new study skills is to take better notes. This week Thomas will tell you everything you need to know to come to class prepared and ...
    Watch Now
  • Does Your School Matter?

    Are elite schools actually the better choice? 9 Scientific Study Tips: https://youtu.be/p60rN9JEapg SUBSCRIBE (it\'s free): http://bit.ly/asapsci This episode was ...
    Watch Now
  • Student Vs. Teacher (2019)

    Parent Teacher Conference GETS REAL in 2019. The battle of students vs teachers is centuries old. Find out how this one ends. Video done in collaboration ...
    Watch Now
  • tips pengucapan bahasa Inggris yang benar

    tips mengucapkan bahasa Inggris yang benar.
    Watch Now
  • Deep Work by Cal Newport (animated book summary) - How to work deeply

    Do you like or enjoy my videos? Then consider buying me a coffee: https://www.buymeacoffee.com/uQKkXCF6B Deep Work by Cal Newport (animated book ...
    Watch Now
  • Reactive and Proactive Selling Jungle Style

    Difference between reactive selling and proactive selling... Jungle example. Thanks for watching this video.
    Watch Now
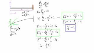
  • Find deflection and slope of a cantilever beam with a point load (double integration method)

    Check out http://www.engineer4free.com for more free engineering tutorials and math lessons! Mechanics of Materials Tutorial: Find deflection and slope of a ...
    Watch Now
  • Cara pengisian form pendaftaran, dan pengisian Nilai Ijazah

    Bagi yang masih bingung dalam pengisian form pendaftaran, pengisian nilai harap perhatikan dan tonton sampai habis.
    Watch Now
  • Key Signatures Made Easy

    https://www.musictheoryacademy.com Key signatures do not need to drive you crazy! Here are some secret tips to reading any key signature quickly.
    Watch Now
  • Grit: the power of passion and perseverance | Angela Lee Duckworth

    Leaving a high-flying job in consulting, Angela Lee Duckworth took a job teaching math to seventh graders in a New York public school. She quickly realized ...
    Watch Now
  • (ENG/SPA/IND) Kyuhyun, Wendy, Cha Eun Woo Report Cards Revealed!! | #CompilationZip | #Diggle

    Turn on CC for English and Spanish Subtitles! Kami juga menambahkan teks terjemahan untuk para penggemar Indonesia kami! #CompilationZip #Diggle Let\'s ...
    Watch Now
  • [Official] ?????????? Love by chance | EP.12 [4/4]

    ?????? ?????????? [Love by chance] ???????????????????????????????????????????...
    Watch Now
  • How To Make a Highlight Video

    Learn how to make a highlight video by guest OSA Coach Anthony DeNicola. Subscribe ? http://www.youtube.com/OnlineSoccerAcademy -----Click ?Show ...
    Watch Now
  • 10 common English Idioms & Expressions from Education

    We have a lot of ground to cover in this lesson about idioms and expressions from the world of education. I will give you ten of them and explain each one in ...
    Watch Now

No comments:

Post a Comment